Упр.277 ГДЗ Никольский Потапов 7 класс (Алгебра)
Решение #1

Рассмотрим вариант решения задания из учебника Никольский, Потапов 7 класс, Просвещение:
Найдите многочлен, равный произведению одночлена и многочлена (277—279):
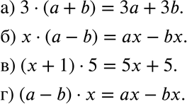
277. а) 3 и (а + b);
б) x и (а - b);
в) (х + 1) и 5;
г) (а - b) и x.
*размещая тексты в комментариях ниже, вы автоматически соглашаетесь с пользовательским соглашением