Упр.280 ГДЗ Никольский Потапов 7 класс (Алгебра)
Решение #1

Рассмотрим вариант решения задания из учебника Никольский, Потапов 7 класс, Просвещение:
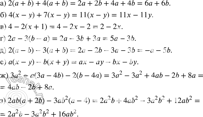
Преобразуйте выражение в многочлен стандартного вида (280—281): 280.
а) 2 (а + b) + 4 (а + b);
б) 4(х - у) + 7 (х - у);
в) 4 - 2(х + 1);
г) 2а - 3(b - а);
д) 2 (а - b) - 3 (а + b);
е) а (х - у) - b (х + у);
ж) За2 - а (За - 4b) - 2 (b - 4а);
з) 2аb(а + 2b) - Заb2(а - 4).
*размещая тексты в комментариях ниже, вы автоматически соглашаетесь с пользовательским соглашением