Упр.3 ГДЗ Дорофеев Суворова 8 класс (Алгебра)
Решение #1

Рассмотрим вариант решения задания из учебника Дорофеев, Суворова, Бунимович 8 класс, Просвещение:
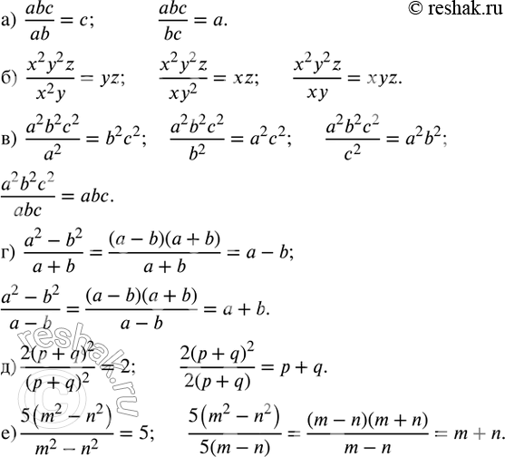
3. Составьте какое-нибудь выражение, которое делится на каждое из данных выражений:
а) ab, bc;
б) x^2y, xy^2, xy;
в) a^2, b^2, c^2, abc;
г) a+b, a-b;
д) (p+q)^2, 2(p+q);
е) m^2-n^2, 5(m-n).
*размещая тексты в комментариях ниже, вы автоматически соглашаетесь с пользовательским соглашением