Упр.36 ГДЗ Дорофеев Суворова 8 класс (Алгебра)
Решение #1

Рассмотрим вариант решения задания из учебника Дорофеев, Суворова, Бунимович 8 класс, Просвещение:
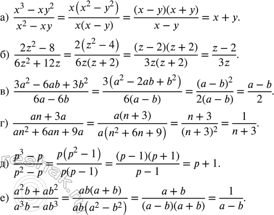
36. Сократите дробь:
а) (x^3-xy^2)/(x^2-xy);
б) (2z^2-8)/(6z^2+12z);
в) (3a^2-6ab+3b^2)/(6a-6b);
г) (an+3a)/(an^2+6an+9a);
д) (p^3-p)/(p^2-p);
е) (a^2 b+ab^2)/(a^3 b-ab^3 ).
*размещая тексты в комментариях ниже, вы автоматически соглашаетесь с пользовательским соглашением