Упр.405 ГДЗ Никольский Потапов 7 класс (Алгебра)
Решение #1

Рассмотрим вариант решения задания из учебника Никольский, Потапов 7 класс, Просвещение:
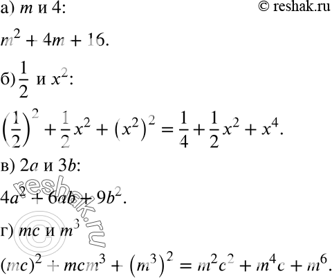
405 Запишите неполный квадрат суммы выражений:
а) m и 4;
б) 1/2 и x2;
в) 2а и 3b;
г) mc и m3.
*размещая тексты в комментариях ниже, вы автоматически соглашаетесь с пользовательским соглашением