Упр.411 ГДЗ Никольский Потапов 7 класс (Алгебра)
Решение #1

Рассмотрим вариант решения задания из учебника Никольский, Потапов 7 класс, Просвещение:
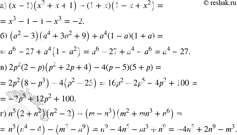
411 Упростите выражение:
а) (х - 1)(х2 + х + 1) - (1 + х)(1 - х + х2);
б) (а2 - 3)(а4 + За2 + 9) + а4(1 - а)(1 + а);
в) 2р2 (2 - р) (р2 + 2р + 4) - 4 (р - 5) (5 + р);
г) n5 (2 + n2) (n2 - 2) - (m — n3)(m2 + mn3 + n6).
*размещая тексты в комментариях ниже, вы автоматически соглашаетесь с пользовательским соглашением