Упр.453 ГДЗ Никольский Потапов 7 класс (Алгебра)
Решение #1

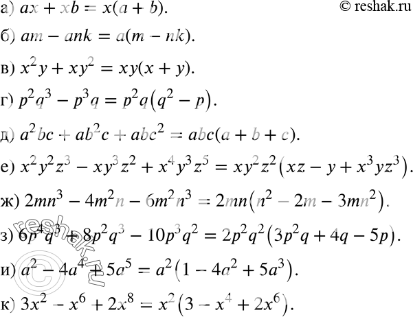
Рассмотрим вариант решения задания из учебника Никольский, Потапов 7 класс, Просвещение:
Вынесите общий множитель многочлена за скобки (453—454):
а) ах + xb;
б) am - ank;
в) х2у + ху2;
г) p2q3 - p3q;
д) а2bс + аb2с + аbс2;
е) x2y2z3 - xy3z2 + x4y3z5;
ж) 2mn3 - 4m2n - 6m2n3;
з) 6p4q3 + 8p2q3 - 10p3q2;
и) а2 - 4а4 + 5а5;
к) Зx2 - x6 + 2x8.
*размещая тексты в комментариях ниже, вы автоматически соглашаетесь с пользовательским соглашением