Упр.463 ГДЗ Никольский Потапов 7 класс (Алгебра)
Решение #1

Рассмотрим вариант решения задания из учебника Никольский, Потапов 7 класс, Просвещение:
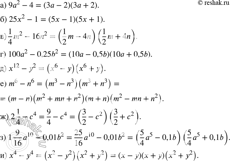
463 а) 9a2-4;
б) 25x2-1;
в) 1/4*m2-16n2;
г) 100a2-0,25b2;
д) x12-y2;
е) m6-n6;
ж) 2*1/4-c4;
з) 1*9/16 *a10 - 0,01b2;
и) x4-y4.
*размещая тексты в комментариях ниже, вы автоматически соглашаетесь с пользовательским соглашением