Упр.466 ГДЗ Никольский Потапов 7 класс (Алгебра)
Решение #1

Рассмотрим вариант решения задания из учебника Никольский, Потапов 7 класс, Просвещение:
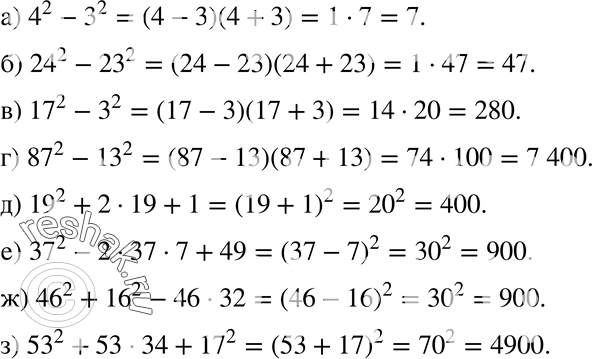
466. Вычислите, предварительно разложив выражение на множители:
а) 4^2 - З^2;
б) 24^2 - 23^2;
в) 17^2 - З^2;
г) 87^2 - 13^2;
д) 19^2 + 2 * 19 + 1;
е) 37^2 - 2 * 37 * 7 + 49;
ж) 46^2 + 16^2 - 46 * 32;
з) 53^2 + 53 * 34 + 17^2.
*размещая тексты в комментариях ниже, вы автоматически соглашаетесь с пользовательским соглашением