Упр.470 ГДЗ Никольский Потапов 7 класс (Алгебра)
Решение #1

Рассмотрим вариант решения задания из учебника Никольский, Потапов 7 класс, Просвещение:
Представьте целое выражение в виде произведения многочленов (470—471):
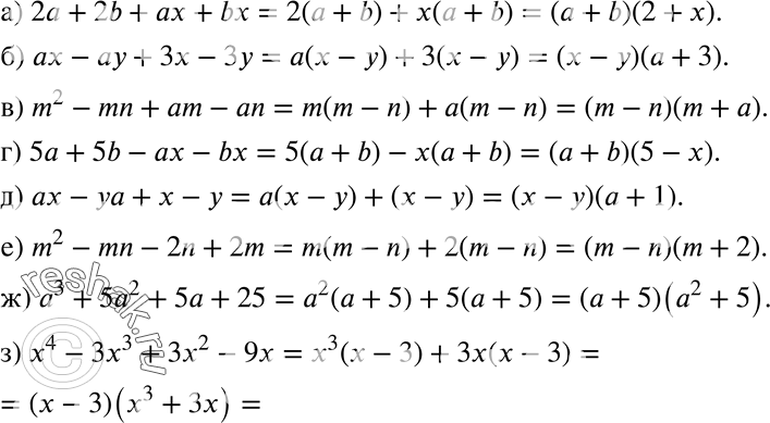
470. а) 2а + 2b + ах + bх;
б) ax-ay+3x-3y;
в) m2 - mn + am - аn;
г) 5a+5b-ax-bx;
д) ах - уа + х - у;
е) m2-mn-2n+2m;
ж) а3 + 5а2 + 5а + 25;
з) x4-3x3+3x2-9x.
*размещая тексты в комментариях ниже, вы автоматически соглашаетесь с пользовательским соглашением