Упр.489 ГДЗ Никольский Потапов 7 класс (Алгебра)
Решение #1

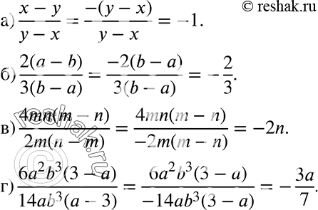
Рассмотрим вариант решения задания из учебника Никольский, Потапов 7 класс, Просвещение:
489 а) (x-y)/(y-x);
б) 2(-b)/3(b-a);
в) 4mn(m-n)/2m(n-m);
г) 6a2b3(3-a)/14ab3(a-3).
*размещая тексты в комментариях ниже, вы автоматически соглашаетесь с пользовательским соглашением