Упр.493 ГДЗ Никольский Потапов 7 класс (Алгебра)
Решение #1

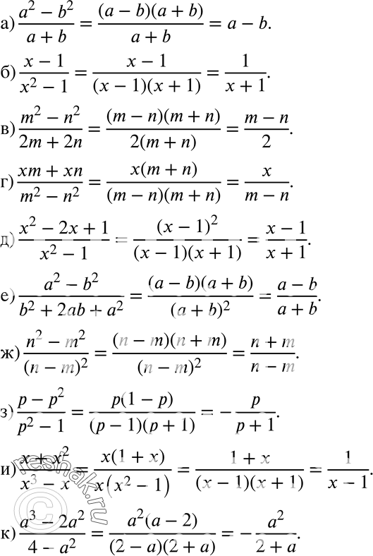
Рассмотрим вариант решения задания из учебника Никольский, Потапов 7 класс, Просвещение:
493 а) (a2-b2)/(a+b);
б) (x-1)/(x2-1);
в) (m2-n2)/(2m+2n);
г) (xm-xn)/(m2-n2);
д) (x2-2x+1)/(x2-1);
е) (a2-b2)/(b2+2ab+a2);
ж) (n2-m2)/(n-m)2;
з) (p-p2)/(p2-1);
и) (x+x2)/(x3-x);
к) (a3-2a2)/(4-a)2.
и)
к)
*размещая тексты в комментариях ниже, вы автоматически соглашаетесь с пользовательским соглашением