Упр.630 ГДЗ Никольский Потапов 8 класс (Алгебра)
Решение #1

Рассмотрим вариант решения задания из учебника Никольский, Потапов 8 класс, Просвещение:
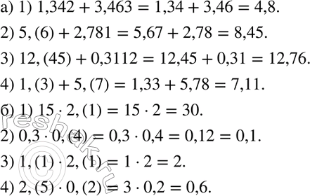
630 а) Найдите приближённо сумму чисел, округлив данные числа до сотых:
1) 1,342 + 3,463;
2) 5,(6) + 2,781;
з) 12,(45) + 0,3112;4) 1,(3) + 5,(7).
б) Найдите приближённо произведение чисел, округлив данные числа и результат до первой значащей цифры:
1) 15 * 2,(1);
2) 0,3 * 0,(4);
3) 1,(1) * 2,(1);
4) 2,(5) * 0,(2).
*размещая тексты в комментариях ниже, вы автоматически соглашаетесь с пользовательским соглашением