Упр.653 ГДЗ Никольский Потапов 7 класс (Алгебра)
Решение #1

Рассмотрим вариант решения задания из учебника Никольский, Потапов 7 класс, Просвещение:
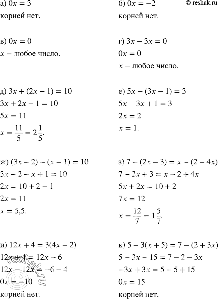
653 а) 0*x=3;
б) 0*x=-2;
в) 0*x=0;
г) 3x-3x=0;
д) 3x+(2x-1)=10;
е) 5x-(3x-1)=3;
ж) (3x-2)-(x-1)=10;
з) 7-(2x-3)=x-(2-4x);
и) 12x+4=3(4x-2);
к) 5-3(x+5) = 7-(2+3x);
л) -x+3+x=x-(x-3);
м) 5x-4+2x=7(x-3);
н) 6(x-3) = 12;
о) 14=7(x+2);
п) 2(x-1) - 4=6(x+2);
р) 3(x+1)-9=6(x-2).
*размещая тексты в комментариях ниже, вы автоматически соглашаетесь с пользовательским соглашением