Упр.690 ГДЗ Никольский Потапов 8 класс (Алгебра)
Решение #1

Рассмотрим вариант решения задания из учебника Никольский, Потапов 8 класс, Просвещение:
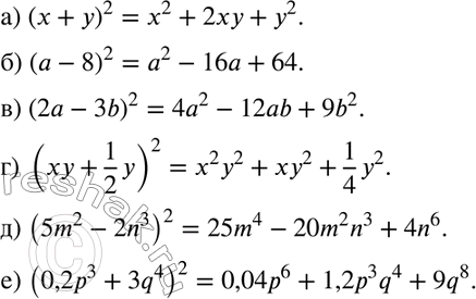
Представьте в виде многочлена (690 - 691):
690 а) (x+y)2;
б) (a-8)2;
в) (2a-3b)2;
г) (xy+1/2*y)2;
д) (5m-2n3)2;
е) (0,2p3 + 3q4)2.
*размещая тексты в комментариях ниже, вы автоматически соглашаетесь с пользовательским соглашением