Упр.7 ГДЗ Дорофеев Суворова 8 класс (Алгебра)
Решение #1

Рассмотрим вариант решения задания из учебника Дорофеев, Суворова, Бунимович 8 класс, Просвещение:
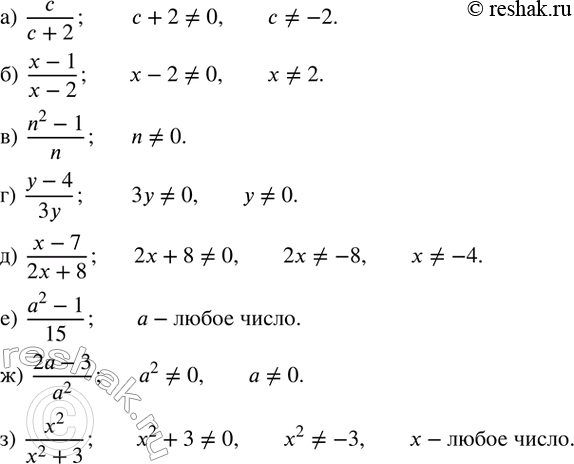
7. Найдите допустимые значения переменной для дроби:
а) c/(c+2);
б) (x-1)/(x-2);
в) (n^2-1)/n;
г) (y-4)/3y;
д) (x-7)/(2x+8);
е) (a^2-1)/15;
ж) (2a-3)/a^2 ;
з) x^2/(x^2+3).
*размещая тексты в комментариях ниже, вы автоматически соглашаетесь с пользовательским соглашением