Упр.9 ГДЗ Дорофеев Суворова 8 класс (Алгебра)
Решение #1

Рассмотрим вариант решения задания из учебника Дорофеев, Суворова, Бунимович 8 класс, Просвещение:
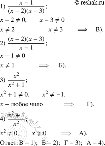
9. Для каждого выражения из верхнего ряда укажите множество допустимых значений переменной, выбрав их из нижнего ряда:
1) (x-1)/(x-2)(x-3);
2) (x-2)(x-3)/(x-1);
3) x^2/(x^2+1);
4) (x^2+1)/x^2.
*размещая тексты в комментариях ниже, вы автоматически соглашаетесь с пользовательским соглашением