Упр.60 ГДЗ Макарычев Миндюк 9 класс (Алгебра)
Решение #1
Решение #2
Решение #3

Рассмотрим вариант решения задания из учебника Макарычев, Миндюк, Нешков 9 класс, Просвещение:
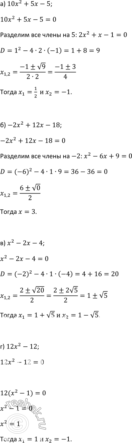
60 Найдите корни квадратного трёхчлена:
а) 10х2 + 5х - 5;
б) -2х2 + 12х - 18;
в) х2 - 2х - 4;
г) 12x2 - 12.
*размещая тексты в комментариях ниже, вы автоматически соглашаетесь с пользовательским соглашением